株式会社CureApp(キュア・アップ / 本社:東京都中央区 代表取締役社長:佐竹 晃太以下、当社)が関与した、高血圧治療補助アプリを用いた多施設介入研究「B-INDEX(The Behavioral Modification INDEX)研究」の成果が、米国心臓協会(AHA)が発行する医学雑誌「Hypertension」に掲載されたことをご報告いたします。本研究は、治療アプリがどのような患者さんに、どのような条件で効果を発揮しやすいのかを、日々の実測データを用いて明らかにしたものです。
なお、本研究はAMED(日本医療研究開発機構)が公募した令和4年度「予防・健康づくりの社会実装に向けた研究開発基盤整備事業/ヘルスケア社会実装基盤整備事業」に自治医科大学が応募して採択された研究です。

解析の結果、治療アプリによる降圧効果において、ベースライン時の家庭血圧、高齢(60歳以上)、自己効力感スコア、塩分摂取量の減少、および初期の体重減少(4週目で−0.5 kg)が、6か月後の家庭血圧低下に有意な影響を与える因子であることが示唆されました。
◆研究の背景
高血圧治療においては、国内外で患者数が増加を続ける一方、服薬継続の難しさや生活習慣改善の難しさといった課題を抱えています。近年、こうした課題に対する新たな治療選択肢として、治療アプリ(Digital Therapeutics:DTx)が注目されています。患者さんの日常行動に働きかけ、治療を継続的に支援する治療アプリは、有望な新しい治療手段として期待されています。これまでの研究により、治療アプリによる降圧効果そのものは示されてきましたが、「どのような患者さんで効果が得られやすいのか」「治療過程のどの要素が降圧に寄与しているのか」については、十分に検証されていませんでした。本研究は、高血圧治療補助アプリを導入している多施設において前向きに収集したデータを用い、治療アプリによる家庭血圧の降圧効果に影響を与える要因を明らかにすることを目的として実施されました。
◆研究概要
対象患者さんは、6ヶ月間にわたり高血圧治療補助アプリを使用し、その後、治療アプリを使用しない6ヶ月間の観察期間を設けました。期間中は、家庭血圧、体重および体組成、身体活動量、睡眠パターンなどをデジタルデバイスを用いて日々モニタリングしました。また主観評価として患者さんへのアンケートを取得しました。本報告では、6ヶ月の治療アプリ使用期間中に収集されたデータを解析し、治療アプリによる家庭血圧の降圧効果に影響を与える要因を検討しています。
解析対象は高血圧患者さん198名で、年齢、性別、降圧薬使用の有無を含め、多様な背景を持つ患者データが含まれています。
◆研究結果
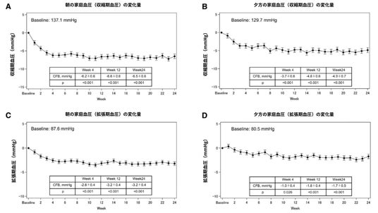
解析の結果、高血圧治療補助アプリによる降圧効果は治療開始後最初の4週間で顕著に現れることが確認されました。朝の家庭血圧においては、平均で −6.2mmHg(収縮期血圧)/−2.6 mmHg(拡張期血圧)の低下が認められ、その後治療が終了する6ヶ月後まで効果を維持しました。
※各プロットと誤差棒は、混合効果モデル解析による最小二乗平均値と標準誤差を示す。CFBはベースラインからの変化量を示す。
また、6ヶ月後の家庭血圧低下に有意に関連する因子として、以下が示されました。
■6か月後の家庭血圧低下に有意な関連因子
<患者さんの背景>
・ベースライン時の家庭血圧が高い(収縮期血圧135mmHg以上、または拡張期血圧90mmHg以上)
・高齢(60歳以上)
・自己効力感スコアが高い
<治療中の変動因子>
・−0.5kgの体重減少(4週時点)
・食塩摂取スコアの減少(12週時点)
特に、「早期の減量」および「減塩」を達成した患者群では、治療開始後12週目に朝の収縮期血圧が12.4mmHg低下し、最も大きな血圧低下が認められました。
<早期の体重変化(4週までの−0.5kg)および塩分摂取スコア変化(12週までの改善)のサブグループ別の、朝の収縮期血圧(SBP)変化量(ベースラインからの変化量)>


※表は、基準値からの収縮期血圧(SBP)の変化量を各時点ごとに示し、対照群(体重変化なし・塩分改善なし)との比較におけるp値を併記する。
なお、解析対象患者の57.6%は降圧薬を服用していました。これらの結果から、「高血圧患者さんの生活習慣を変える、世界初※1の保険適用アプリ」である高血圧治療補助アプリは、服薬中の患者さんを含む集団においても降圧効果が認められ、特に早期の減量・減塩を実現できた集団では、12週時点で朝の収縮期血圧が12.4mmHg低下することが示されました。
治療アプリを活用した場合、早期に生活習慣を変えることが、治療成功の重要な鍵であることがわかりました。
◆論文
本研究の結果は、『Hypertension』に掲載されています。(2025年11月3日付)タイトル:Efficacy Determinants of Hypertension Digital Therapeutics: The B-INDEX Study
URL:https://www.ahajournals.org/doi/abs/10.1161/HYPERTENSIONAHA.125.25028
◆高血圧症治療補助アプリ※2について
お薬と同じように臨床試験を実施し、医療機器として認められたスマートフォンアプリ。医師が患者さんに対してアプリを“処方”し、使用するための処方コードを発行します。患者さんは自身のスマホにダウンロードして利用し、自宅など、診療の場以外でも治療アプリが生活習慣改善を継続できるよう患者さんをサポートします。患者さんがアプリに入力した情報は医師側のパソコンで確認できるので、次回診察時、医師による日常における生活習慣改善の指導に役立ちます。
治療アプリの高血圧領域では世界で初めて※1製造販売承認・保険適用を取得し、現在全国の医療機関で提供、多くの高血圧患者さんに利用されています。
※1 :世界初:自社調べ (調査年月:2022年9月 )調査範囲: 製造販売承認および保険適用を受け医療機関で処方が開始した高血圧症治療アプリ
※2:販売名:CureApp HT 高血圧治療補助アプリ /承認番号:30400BZX00100000/本製品は医師の診断のもと処方され、患者が使用する管理医療機器です
■高血圧情報サイト
■高血圧お役立ちLINE「だぱん」の登録はこちら
■薬だけじゃない高血圧治療について(高血圧治療補助アプリ患者さん向けサイト)
■高血圧治療補助アプリ製品サイト(医療従事者向け)
◆株式会社CureAppについて
2014年に2名の医師が創業。治療効果が治験にて証明され、医療現場で医師が患者に処方する「治療アプリ」を研究開発・製造販売する医療機器メーカー。2020年、スマートフォンで動作する疾患治療用プログラム医療機器として日本で初めて*、また禁煙治療領域においては世界初*の薬事承認および保険適用を実現。その後も高血圧、減酒治療における治療アプリの薬事承認・保険適用を受け、医療機関へ販売を行っています。その他、NASH / がん / 慢性心不全 / 慢性腰痛症など、複数の疾患に対応する治療アプリの開発を進めています。
また、民間法人向けの健康増進サービス「ascureモバイルヘルスプログラム」も運営し、多数の健保組合・企業の禁煙施策として導入されています。この他「ascure Dr.高血圧治療」も提供をスタートしました。
*:自社調べ ・調査年月:2020年12月 ・調査範囲: 製造販売承認および保険適用を受けた日本の治療アプリおよび世界のニコチン依存症向け治療アプリ
株式会社CureApp 会社概要
代表取締役社長:佐竹 晃太
本社所在地:東京都中央区日本橋小伝馬町12-5 小伝馬町YSビル4階
事業内容:プログラム医療機器開発、モバイルヘルス関連サービス事業
URL:https://cureapp.co.jp/
企業プレスリリース詳細へ
PRTIMESトップへ

